Drugi kolokvijum - smene 2 i 4 (A. Pejcev)

Post Reply
apejcev
Posts: 2175
Joined: 25.06.2014. 00:25

Drugi kolokvijum - smene 2 i 4 (A. Pejcev)

Post by apejcev »

Drugi kolokvijum se zakazuje za ponedeljak 7.decembar (u nadi da ce biti moguce odrzati ga) sa pocetkom u 10:00h u salama 308 i 223 i od gradiva ce obuhvatati gresku racunanja funkcije vise promenljivih (direktan i inverzan problem), interpolaciju, numericko diferenciranje, numericko resavanje diferencijalnih jednacina 1. reda, numericku integraciju, kao i Metodu najmanjih kvadrata. U prilogu su primeri takvog kolokvijuma od pre par godina (tad su sadrzali zadatak na temu znacajnih cifara - sad je to prebaceno u Prvi kolokvijum ), kao i jedan detaljno resen kolokvijum (ne obracati paznju na to sto se to tad zvao Prvi kolokvijum).

Kolokvijumu ce prethoditi 1 skolski cas javnih konsultacija u sali 308, a uz saam kolokvijum ce studentima biti na raspolaganju i zadatak na temu redova namenjen popravci rezultata sa Prvog koklokvijuma, a sastojace se u tome da se neka zadata funkcija razvije u stepeni red.

A. Pejcev
Numkolokvijum12014.pdf
(91.19 KiB) Downloaded 289 times
Resnumkolokvijum12014.pdf
(114.5 KiB) Downloaded 244 times
Numkolokvijum22015.pdf
(98.65 KiB) Downloaded 200 times
Numkolokvijum22016.pdf
(107.95 KiB) Downloaded 217 times
Numkolokvijum22017.pdf
(110.45 KiB) Downloaded 255 times
apejcev
Posts: 2175
Joined: 25.06.2014. 00:25

Re: Jos par primera na temu razvijanja funkcije u stepeni red - smene 2 i 4 (A. Pejcev)

Post by apejcev »

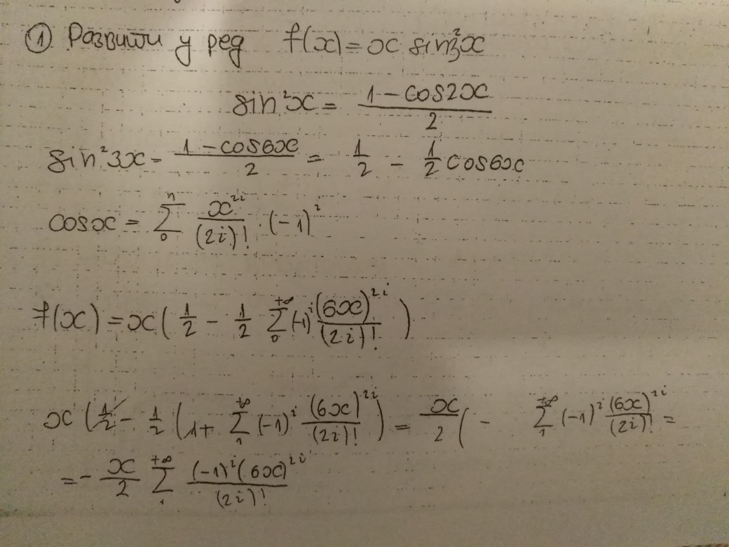
U prilogu je jos par primera one vrste zadatka na temu stepenih redova kakav se moze ocekivati kao popravni za Prvi kolokvijum.
1.jpg
(148.07 KiB) Not downloaded yet
2.jpg
(133.51 KiB) Not downloaded yet
A. Pejcev
apejcev
Posts: 2175
Joined: 25.06.2014. 00:25

Re: Drugi kolokvijum - smene 2 i 4 (A. Pejcev)

Post by apejcev »

Pretpostavlja se da ce pola sata javnih konsultacija biti dovoljno, s obzirom na prirodu kolokvijuma.

A. Pejcev
Post Reply