Drugi kolokvijum - smene 2 i 4 (A. Pejcev/D. Jandrlic)

Post Reply
apejcev
Posts: 2278
Joined: 25.06.2014. 00:25

Drugi kolokvijum - smene 2 i 4 (A. Pejcev/D. Jandrlic)

Post by apejcev »

Drugi kolokvijum se zakazuje za ponedeljak 5.decembar sa pocetkom u 10:00h - bice javljeno u kojim salama i od gradiva ce obuhvatati gresku racunanja funkcije vise promenljivih (direktan i inverzan problem), interpolaciju, numericko diferenciranje, numericko resavanje diferencijalnih jednacina 1. reda, numericku integraciju, kao i Metodu najmanjih kvadrata. U prilogu su primeri takvog kolokvijuma od pre par godina (tad su sadrzali zadatak na temu znacajnih cifara - sad je to prebaceno u Prvi kolokvijum ), kao i jedan detaljno resen kolokvijum (ne obracati paznju na to sto se to tad zvao Prvi kolokvijum).

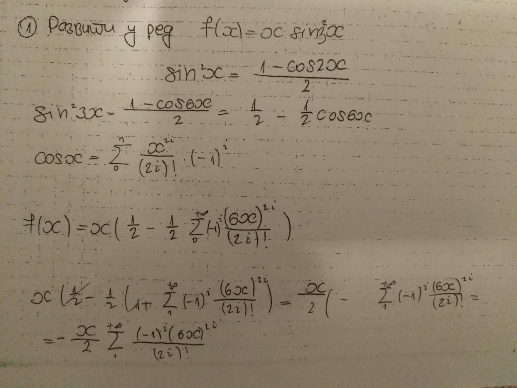
Uz saam kolokvijum ce studentima biti na raspolaganju i zadatak na temu redova namenjen popravci rezultata sa Prvog kolokvijuma, a sastojace se u tome da se neka zadata funkcija razvije u stepeni red (evo na slikama 1 i 2 kako otrpilike moze da izgleda taj zad.).

A. Pejcev
Numkolokvijum12014.pdf
(91.19 KiB) Downloaded 367 times
Resnumkolokvijum12014.pdf
(114.5 KiB) Downloaded 295 times
Numkolokvijum22015.pdf
(98.65 KiB) Downloaded 236 times
Numkolokvijum22016.pdf
(107.95 KiB) Downloaded 229 times
Numkolokvijum22017.pdf
(110.45 KiB) Downloaded 278 times
1.jpg
(148.07 KiB) Not downloaded yet
2.jpg
(133.51 KiB) Not downloaded yet
djandrlic
Posts: 173
Joined: 10.09.2014. 19:57

Re: Drugi kolokvijum - vreme i sala

Post by djandrlic »

Drage kolege,

kolokvijum će se u ponedeljak 5.12. održati u amfiteatru A sa početkom u 11h.

D. Jandrlić
apejcev
Posts: 2278
Joined: 25.06.2014. 00:25

Re: Javne konsultacije pred Drugi kolokvijum - smene 2 i 4 (A. Pejcev)

Post by apejcev »

Javne konsultacije ce se drzati od 10:15h u sali 308 (nakon cega ce se preci u A).

A. Pejcev
Post Reply