Drugi kolokvijum - smene 2 i 4 (A. Pejcev)

Post Reply
apejcev
Posts: 2199
Joined: 25.06.2014. 00:25

Drugi kolokvijum - smene 2 i 4 (A. Pejcev)

Post by apejcev »

Drugi kolokvijum se zakazuje za ponedeljak 19.januar i od gradiva ce obuhvatati gresku racunanja funkcije vise promenljivih (direktan i inverzan problem), interpolaciju, numericko diferenciranje, numericko resavanje diferencijalnih jednacina 1. reda, numericku integraciju, kao i Metodu najmanjih kvadrata. U prilogu su primeri takvog kolokvijuma od pre par godina (tad su sadrzali zadatak na temu znacajnih cifara - sad je to prebaceno u Prvi kolokvijum ), kao i jedan detaljno resen kolokvijum (ne obracati paznju na to sto se to tad zvao Prvi kolokvijum).

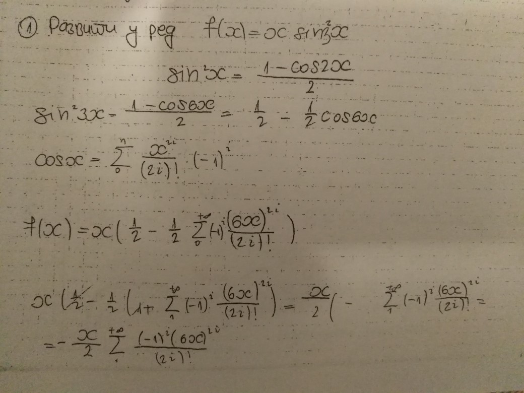
Uz saam kolokvijum ce studentima biti na raspolaganju i zadatak na temu redova namenjen popravci rezultata sa Prvog kolokvijuma, a sastojace se u tome da se neka zadata funkcija razvije u stepeni red (evo na slikama 1 i 2 kako otrpilike moze da izgleda taj zad.).
U zipovanim materijalima koje je ostavila profesorka Jandrlic ima jos primera kolokvijuma i ispitnoj rokova viewtopic.php?f=73&t=15497.

A. Pejcev
Numkolokvijum12014.pdf
(91.19 KiB) Downloaded 68 times
Resnumkolokvijum12014.pdf
(114.5 KiB) Downloaded 38 times
Numkolokvijum22015.pdf
(98.65 KiB) Downloaded 34 times
Numkolokvijum22016.pdf
(107.95 KiB) Downloaded 26 times
Numkolokvijum22017.pdf
(110.45 KiB) Downloaded 40 times
Stepeni1.jpg
(148.07 KiB) Not downloaded yet
Stepeni2.jpg
(133.51 KiB) Not downloaded yet
Post Reply