Drugi kolokvijum - smene 2 i 4 (A. Pejcev/S. Spalevic)

Post Reply
apejcev
Posts: 2278
Joined: 25.06.2014. 00:25

Drugi kolokvijum - smene 2 i 4 (A. Pejcev/S. Spalevic)

Post by apejcev »

Drugi kolokvijum se zakazuje za ponedeljak 11.decembar sa pocetkom u 8:00h u salama 308 i 223 i od gradiva ce obuhvatati razvijanje funkcije u stepene redove, gresku racunanja funkcije vise promenljivih (direktan i inverzan problem), interpolaciju, numericko diferenciranje, numericko resavanje diferencijalnih jednacina 1. reda, numericku integraciju, kao i Metodu najmanjih kvadrata. U prilogu su primeri takvog kolokvijuma od pre par godina (tad su sadrzali zadatak na temu znacajnih cifara - sad je to prebaceno u Prvi kolokvijum), kao i jedan detaljno resen kolokvijum (ne obracati paznju na to sto se to tad zvao Prvi kolokvijum).

Uz saam kolokvijum ce studentima biti na raspolaganju i zadatak na temu redova namenjen popravci rezultata sa Prvog kolokvijuma, a sastojace se u tome da se ispita uniformna konvergencija nekog funkcijskog reda (sto je svakako vec radjeno na vezbama).

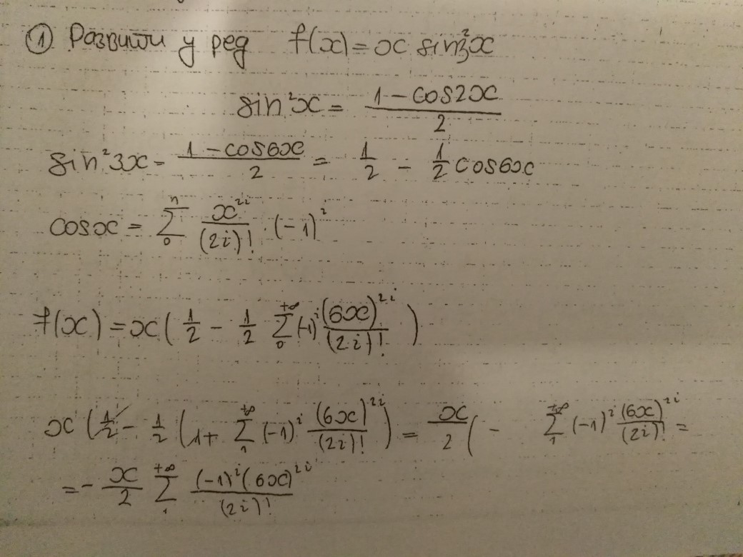
Sto se tice zadatka da se neka zadata funkcija razvije u stepeni red, koji se ove godine po prvi put daje kao redovan zadatak u sklopu Drugog kolokvijuma - evo na slikama 1 i 2 kako otrpilike moze da izgleda.

U zipovanim materijalima koje je ostavila profesorka Jandrlic ima jos primera kolokvijuma i ispitnoj rokova viewtopic.php?f=73&t=15497.

A. Pejcev
Numkolokvijum22017.pdf
(110.45 KiB) Downloaded 261 times
Numkolokvijum22016.pdf
(107.95 KiB) Downloaded 166 times
Numkolokvijum22015.pdf
(98.65 KiB) Downloaded 150 times
Numkolokvijum12014.pdf
(91.19 KiB) Downloaded 187 times
Resnumkolokvijum12014.pdf
(114.5 KiB) Downloaded 207 times
1.jpg
(148.07 KiB) Not downloaded yet
2.jpg
(133.51 KiB) Not downloaded yet
Post Reply